Стратегия импортозамещения в России: бизнес и инновации...
Гуманитарный вестник
# 10·2017 11
передовое русло, является организация и последующее развитие инно-
вационного климата в стране. Его составляющими являются непосред-
ственно сами инновации. Под инновациями понимают новшества (но-
вые изделия, процессы, услуги), разнообразные изменения, а также
процессы их осуществления и внедрения в производство.
Международная практика показывает, что именно крупные компа-
нии играют ключевую роль в разработке и внедрении инноваций. Доля
затрат частного бизнеса на исследования и разработки по странам Ор-
ганизации экономического сотрудничества и развития (ОЭСР) достига-
ет почти 70 %, в то время как в России корпоративный сектор вклады-
вает в НИОКР чуть более 20 % от общего объема капиталовложений.
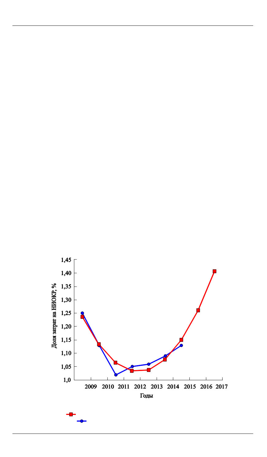
За последние 5 лет в России в среднем доля внутренних затрат на
исследования и разработки в ВВП составила 1,07 %. Однако такой
объем затрат не удовлетворяет реальные потребности науки в инве-
стициях для ее последующего благополучного развития. Для сравне-
ния, такие технологически развитые страны, как Южная Корея, Япо-
ния, Китай тратят на НИОКР соответственно 4,3, 3,6, 2,0 % от ВВП. По
стратегии инновационного развития Российской Федерации на период
до 2020 г., уровень этого показателя в России еще в 2013 г. должен был
достигнуть 1,5 %. Основываясь на данных о затратах на НИОКР в Рос-
сийской Федерации за период с 2010 по 2015 г. и экстраполируя их на
2017 г. (рисунок) [19], можно заключить, что при прочих неизменных
факторах, влияющих на финансирование инновационной деятельности
в Российской Федерации, в 2017 г. доля затрат на НИОКР от ВВП РФ
будет колебаться в пределах от 1,38 до 1,43 %.
Прогноз доли затрат на НИОКР в ВВП РФ на 2017 г.:
— доля затрат на НИОКР в ВВП, 2009–2015 гг.;
— тренд доли затрат на НИОКР в ВВП




