Гуманитарный вестник
# 10·2017 1
УДК 336.717 DOI 10.18698/2306-8477-2017-10-478
Интернет-банкинг: проблемы обеспечения безопасности
© Т.И. Кузнецова, Р.А. Малиновский, А.С. Несмелова
МГТУ им. Н.Э. Баумана, Москва, 105005, Россия
Раскрыты причины распространения и сущность интернет
‐
банкинга. Проанали-
зированы состав и структура услуг, предоставляемых клиентам через интернет.
Показаны риски, связанные с электронными услугами. Рассмотрены различные
методы защиты банковской информации.
Ключевые слова:
интернет-банкинг, киберпреступность, электронная цифровая
подпись, SSL-шифрование, одноразовые пароли
Интернет-банкинг является одним из наиболее динамично разви-
вающихся сегментов электронной коммерции и представляет собой
вариант дистанционного способа оказания банковских услуг клиен-
там. В широком смысле под данным термином можно понимать са-
мые разнообразные системы, начиная от обычных веб-сайтов банков
и заканчивая сложными виртуальными расчетно-платежными систе-
мами. В более узком значении интернет-банкинг — это аналог си-
стемы банк — клиент, работающий через Интернет.
Возможности использования Интернета в области банковского
дела постоянно расширяются, появляются новые службы и техноло-
гии. Об успехах интернет-банкинга свидетельствует тот факт, что
космонавты, находящиеся на борту Международной космической
станции, могут осуществлять платежи из космоса посредством Ин-
тернета, приобретать подарки для своих родных и близких, исполь-
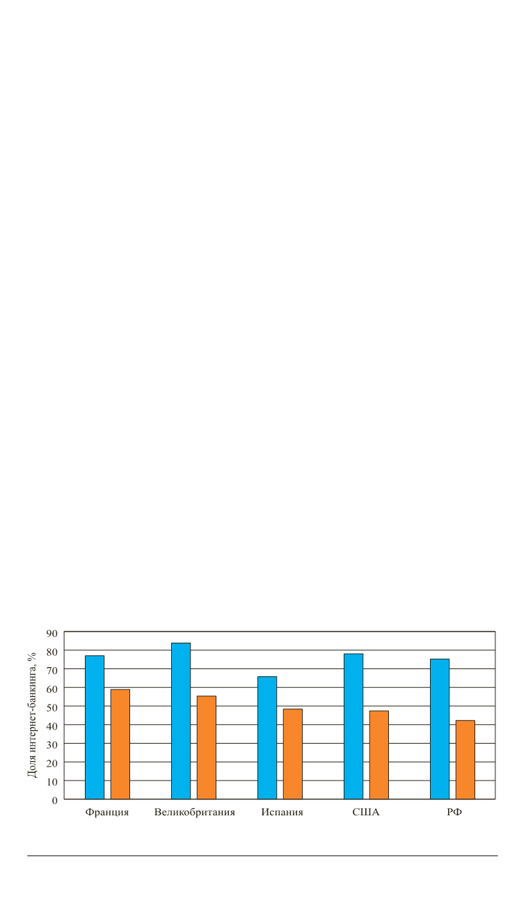
зуя виртуальные платежные карты. С каждым годом услуги интер-
нет-банкинга становятся все популярнее (рис. 1).
Рис. 1.
Доля интернет-банкинга во Всемирной сети


