Основные факторы, влияющие на учебную мотивацию
Гуманитарный вестник
# 11·2016 9
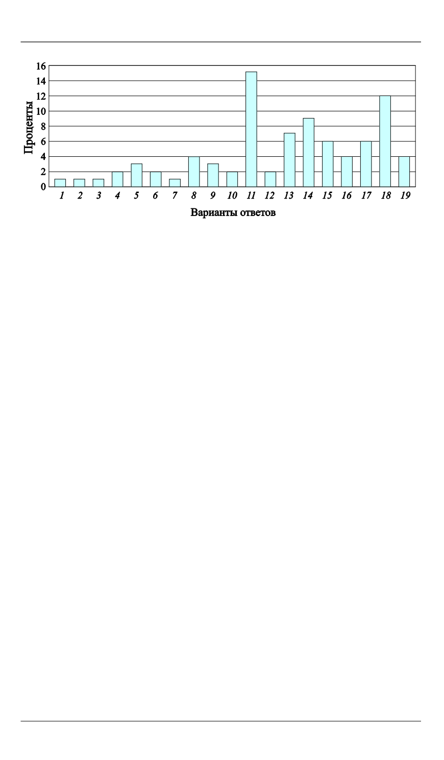
Рис. 6.
Личностные качества преподавателя, влияющие на интерес к предмету:
1
— подает пример;
2
— строгость;
3
— адекватность;
4
— ответственность;
5
— лояльность
к студентам;
6
— отзывчивость;
7
— уважение студентов;
8
— открытость;
9
— индивиду-
альный подход к студентам;
10
— терпимость;
11
— интересная подача материала;
12
—
харизма;
13
— общение на равных со студентами;
14
— человеческое отношение к студен-
там;
15
— доброжелательность;
16
— непредвзятость, объективность;
17
— чувство юмора;
18
— заинтересованность в предмете;
19
— профессионализм преподавателя
Подводя итоги исследования, следует отметить, что модульно-
рейтинговая система образования зарекомендовала себя как эффек-
тивная с точки зрения мотивации студентов к изучению предмета.
Личностные отношения играют одну из главных ролей в системе
учебной мотивации, а личностные качества преподавателя являются
основным мотивирующим фактором. Качество образования и про-
грамма курса важны для большинства студентов.
ЛИТЕРАТУРА
[1]
Мотив.
Энциклопедия практической психологии
.
URL:
http://www.psychologos.ru/articles/view/motiv(дата обращения 11.05.16).
[2]
Зимняя И.А.
Педагогическая психология
. Москва, Логос, 2004, 384 с.
[3]
Бабинская П.К., Леонтьева Т.П., Андреасян И.М., Будько А.Ф., Чепик И.П.
Практический курс методики преподавания иностранных языков
. 5-е изд.
Минск, ТетраСистемс, 2009, 288 с.
[4]
Csizе́r K., Dörnyei Z.
The Internal Structure of Language Learning Motivation
and Its Relationship with Language Choice and Learning Effort
. URL:
http://www.zoltandornyei.co.uk/uploads/2005-csizer-dornyei-mlj.pdf(дата
обращения 13.05.2016).
[5]
Spratt M., Pulvernes A., William M.
The Teaching Knowledge Test Course
.
Cambridge University Press, 2011, 257 р.
[6]
Соловьева И.В. Учебная мотивация и практика преподавания английского
языка в неязыковом вузе.
Современные научные исследования и инновации
,
2012, № 6. URL:
http://web.snauka.ru/issues/2012/06/15610(дата обращения
13.05.16).




