Самонадежность в структуре личностной надежности специалиста - page 7

Самонадежность в структуре личностной надежности специалиста
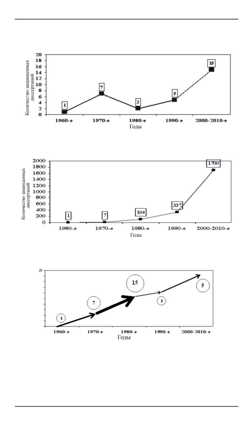
Рис. 3. Динамика изучения проблем надежности человека в диссертационных
исследованиях по психологическим наукам (1960–2013)
Рис. 4. Динамика количества открытых отечественных диссертационных ис-
следований по проблемам надежности (1960–2013)
Рис. 5. Динамика кратности количества открытых отечественных диссертаци-
онных исследований по проблемам надежности по сравнению с предыдущим
периодом (1960–2013) (
n
— кратность изменения количества защищенных дис-
сертаций в текущем десятилетии по сравнению с предыдущим)
7
1,2,3,4,5,6 8,9,10,11,12
Powered by FlippingBook